Loading...

Florence, OR, 97439 • 97439 • Lane County
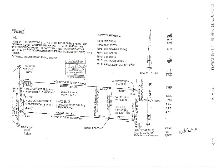
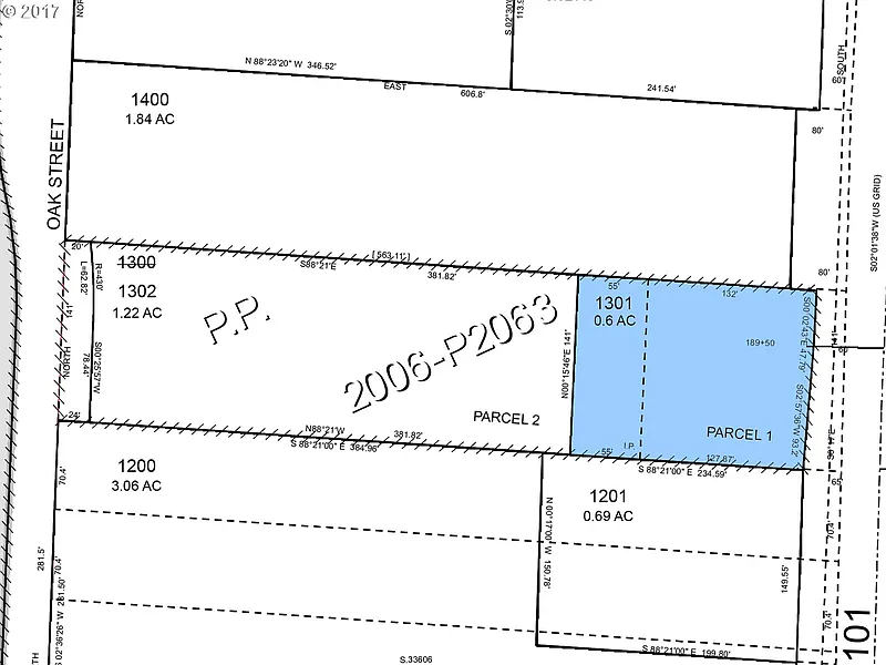
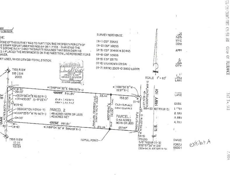
0.6 acLot
Lot
Commercial opportunity with Highway 101 frontage. This lot is located in the North Florence commercial district, three blocks north of 37th street, just north of the Economy Inn. The Highway District zoning allows for many different uses.
Key facts and listing details
2 categories of property features
Market data and value estimates
3 schools rated nearby
Florence, OR, 97439
7 events
Local context around this listing
Florence, OR • Lane County
Nearby neighborhoods
Nearby cities
Nearby zip codes
No obligation · Same-day response